×
模态框(Modal)标题
在这里添加一些文本
关闭
关闭
提交更改
取消
确定并提交
×
模态框(Modal)标题
×
欢迎访问《热带作物学报》,
导航切换
热带作物学报
首页
关于本刊
期刊介绍
获奖情况
被收录情况
文献计量学指标
获基金资助情况
编委会
作者中心
投稿指南
论文模板
版权转让协议
收费说明
期刊在线
最新录用
当期目录
过刊浏览
引用排行
阅读排行
下载排行
E-mail Alert
工作流程
审稿流程
编校流程
期刊订阅
期刊声明
道德声明
版权与许可
出版伦理规范
开放获取(OA)
广告服务
联系我们
English
图/表 详细信息
丘陵山地甘蔗分步式机收质量及其经济效益分析
艾静, 李宝, 王禹童, 易湘艳, 刀静梅, 赵勇, 李红军, 杨绍聪, 邓军, 张跃彬
热带作物学报, 2026, 47(
1
): 134-144. DOI:
10.3969/j.issn.1000-2561.2026.01.013
图3
收获期不同甘蔗主栽品种蔗叶占比(A)、梢占比(B)、含杂率(C)及净蔗得率(D)
不同小写字母表示差异显著(P<0.05)。
本文的其它图/表
表1
耿马县糖料蔗产量
图1
甘蔗分步式机械收获模块解析
表2
成熟期人工砍收甘蔗调查表
图2
不同月份甘蔗叶占比(A)、梢占比(B)、含杂率(C)及净蔗得率(D)
不同小写字母表示差异显著(P<0.05)。
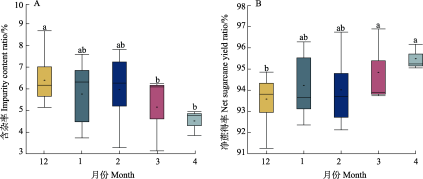
图4
不同月份分步式机械收获含杂率(A)和净蔗得率(B)
不同小写字母表示差异显著(P<0.05)。
图5
不同月份的不同甘蔗品种分步式机械收获扣杂率(A)和净蔗得率(B)
不同小写字母表示差异显著(P<0.05)。
图6
不同甘蔗收获方式下的收获成本与收益计算分析
图7
剥叶站不同经营模式的收益